褐皮書揭示美國經濟溫弱前行
摘要:(圖一 資料來源GOOGLE)美國剛從政府關門的混亂中恢復,很多重要的通膨資料也是上周才重新公佈。在這種背景下,近期發佈的褐皮書就值得參考。整體來看,報告顯示出美國經濟維持韌性,但也稱不上穩健,整體就是穩中帶弱先來看整體經濟狀況,褐皮書顯示,美國12個聯儲區的經濟活動幾乎持穩。也就是既沒有明顯擴張,也沒有大幅衰退,基本上沒太大差異。只有少數地區略有增長,大部分地區保持穩定,不過有開始轉弱跡象。就像

(圖一 資料來源GOOGLE)
美國剛從政府關門的混亂中恢復,很多重要的通膨資料也是上周才重新公佈。在這種背景下,近期發佈的褐皮書就值得參考。整體來看,報告顯示出美國經濟維持韌性,但也稱不上穩健,整體就是穩中帶弱
先來看整體經濟狀況,褐皮書顯示,美國12個聯儲區的經濟活動幾乎持穩。也就是既沒有明顯擴張,也沒有大幅衰退,基本上沒太大差異。只有少數地區略有增長,大部分地區保持穩定,不過有開始轉弱跡象。就像是在踩著刹車慢慢滑行,速度有所減慢,但還沒到完全停下。
再來看就業市場,褐皮書這次清楚指出,勞動力需求正在轉弱,差不多一半的地區提到企業開始縮減招聘,或者只補上離職的空缺、不再新增崗位。雖然還沒出現大規模裁員,但就業增長的熱度正在明顯降溫。
這對美聯儲來說可能是好壞個半,好處是薪資壓力減輕,有助通膨下降,壞處是如果就業繼續惡化,消費可能跟著減弱,經濟動能也會受到影響。
在消費和零售方面,尤其是非必需品消費明顯放緩。很多家庭開始花得更保守,再加上先前政府關門部分補助停發,也衝擊了低收入族群的支出。因為美國經濟有七成是靠消費在撐,消費一轉弱,整體經濟成長的動能自然就跟著下降。
最後來看物價和薪資,顯示整體物價和薪資仍在上漲,但屬於溫和增長。也就是說,通膨雖還降到目標附近,但至少不是一路向北。部分企業嘗試把成本上漲轉嫁給消費者,不過也有企業選擇維持價格不變,避免顧客流失。整體來說,通膨壓力依然存在,不過已經沒有之前那麼頑固。
總結:
對市場來說,這份褐皮書傳遞的信號就是美聯儲有理由降息,但是會很更加謹慎。目前12月份降息超過86%,而只要降息預期升溫,美元往往就會走弱。短線上,美元大概率進入震盪偏弱的格局,上行空間將被壓縮。相對黃金就比較有利,金價通常會因為美元轉弱、利率預期下修而獲得支撐。
接下來我們來看今日的黃金技術分析(多時間匡架):

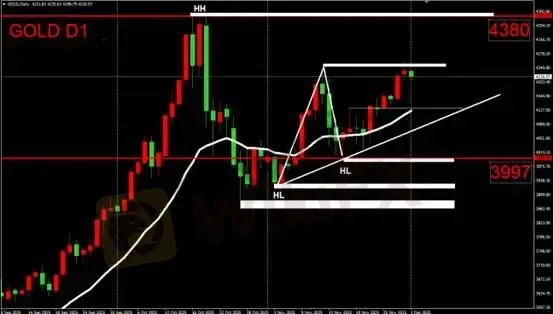
(圖二 黃金日線圖)
日線圖:高位轉折結構顯現
l 黃金本周延續上漲趨勢,價格近4200美元/盎司關口一帶,走勢呈現“低點逐步抬高、高點不斷刷新”的上漲特性,表明當前上漲慣性依然保持。不過昨日K線雖收陽,但上方留有約40美元的上影線,顯示高位拋壓逐漸顯現,下行風險正在增加。同時,金價已接近11/12日波段高點與10/20日關鍵陰線形成的雙重技術壓制區域,這可能進一步限制上行空間。美盤時段需持續關注多方關鍵防線4200美元/盎司關口的攻守狀況,該位置的得失將成為判斷短期結構強弱的信號。
l 多空分水嶺:4235美元/盎司。
l 今日交易:多方趨勢。在4265和小時圖20EMA均線之上,做多。
l 亞盤時段,金價仍承壓於多空分水嶺4235美元/盎司下方,顯示短期上漲動能有所衰減,行情進入技術性修正階段。建議保持耐心,等待修正結束後出的反轉信號。

(圖三 黃金四小時圖)
四小時圖:高位出現承壓跡象
l 從四小時圖觀察,價格已連續收出四根陰線,表明當前盤面由空方主導,行情進入修正階段。目前價格正測試4200美元/盎司關口支撐,可能進一步下探20EMA均線。若空方有效跌破4200美元/盎司關口,則意味多方防守轉弱,行情可能開啟更深層次的回檔。另一種可能是,價格在短暫跌破20EMA後出現拐點,並重新站上4245美元/盎司關鍵位。這種情況可視作流動性轉換信號,有望為後續多方反彈奠定基礎。
l 20EMA均線:4200美元/盎司。
l 支撐區域:4200-4210;阻力區域4225-4265美元/盎司。
l 亞盤時段,空方正進一步測試20EMA均線支撐。若價格有效跌破該均線,則需警惕行情可能開啟更深層次的回檔,此時建議保持觀望。應等待價格重新收復失地,並確認持穩於20EMA均線之上後,再做進一步的交易決策。

(圖四 黃金一小時圖)
一小時圖:20EMA均線失守
l 今日早盤時段,金價已跌破20EMA均線,表明空方重新掌控盤面,行情進入修正階段。由於當前處於修正格局,在未出現明確的轉折信號前,建議保持耐心觀望。只有待價格重新站穩20EMA均線上方,行情才有望開啟反彈。若美盤時段價格仍無法收復失地,持續承壓於20EMA均線之下,則說明多方防守力量減弱,下行風險將進一步加大。
l 折價區域:4150-4195美元/盎司。
l 今日交易:多方趨勢。在4245和小時圖20EMA均線之上,做多。
l 當前金價已回落至折價區域,該區域通常有教佳的盈虧比與風控條件。但是在明確的止跌企穩信號出現前,仍需耐心等待轉折結構形成後再行入場。從小時圖結構看,多方反彈基礎尚未完全破壞,但關鍵在於價格能否重新有效站上20EMA均線。該位置的得失將成為判斷短期動能強弱的關鍵。
總結:
I. 日線圖:連續兩日創高。多空分水嶺:4235。今日交易:多方趨勢。在4265和小時圖20EMA均線之上,做多。短期上漲動能有所衰減,行情進入技術性修正階段。建議保持耐心,等待修正結束後出的反轉信號。
II. 四小時圖:高位出現承壓跡象。20EMA均線:4200;支撐區域:4200-4210;阻力區域4225-4265。若價格有效跌破20EMA均線,則需警惕行情可能開啟更深層次的回檔,此時建議保持觀望。應等待價格重新收復失地,並確認持穩於20EMA均線之上後,再做進一步的交易決策。
III. 一小時圖:20EMA均線失守。折價區域:4150-4195。今日交易:多方趨勢。在4245和小時圖20EMA均線之上,做多。當前金價已回落至折價區域,該區域通常有教佳的盈虧比與風控條件,也是合適的低多位置。不過在明確的止跌企穩信號出現前,仍需耐心等待轉折結構形成後再行入場。
在進場條件未滿足前應保持觀望,避免情緒化操作。交易中維持耐心、紀律和一致性是成功的關鍵因素。
IV. 風險控制建議單筆交易止損控制在2%~5%;日內累計虧損建議控制在10%以內,嚴格執行風控紀律。突破單帶上移動止損保護利潤。
風險提示:以上觀點、分析、研究、價格或其它資料只作一般市場評論,不代表本平台立場,任何流覽人士需自行承擔一切風險,請謹慎操作。
免責聲明:
本文觀點僅代表作者個人觀點,不構成本平台的投資建議,本平台不對文章信息準確性、完整性和及時性作出任何保證,亦不對因使用或信賴文章信息引發的任何損失承擔責任
