市场关注新美联储鸽派主席任命,金银继续刷新历史新高
摘要:市场关注新美联储鸽派主席任命,金银继续刷新历史新高黄金价格飙升至每盎司 5500 美元以上的历史新高,延续了此前受美元疲软和投资者抛售主权债券及货币推动的迅猛涨势。金价一度上涨3.2%,延续了前一交易日4.6%的涨幅——这是自2020年3月新冠疫情高峰以来最大的单日涨幅。今年以来,受地缘政治紧张局势加剧以及对美联储独立性的担忧影响,贵金属价格大幅上涨,这些因素也支撑了贬值交易。白银价格周四也创下历
市场关注新美联储鸽派主席任命,金银继续刷新历史新高
黄金价格飙升至每盎司 5500 美元以上的历史新高,延续了此前受美元疲软和投资者抛售主权债券及货币推动的迅猛涨势。
金价一度上涨3.2%,延续了前一交易日4.6%的涨幅——这是自2020年3月新冠疫情高峰以来最大的单日涨幅。今年以来,受地缘政治紧张局势加剧以及对美联储独立性的担忧影响,贵金属价格大幅上涨,这些因素也支撑了贬值交易。白银价格周四也创下历史新高。
交易员们并未将目光投向美联储周三维持利率不变的预期之外。由于预计今年晚些时候将有一位新的货币政策领袖接替杰罗姆·鲍威尔,贝莱德集团的里克·里德尔——一位主张更激进降息的分析师——已成为热门人选。交易员们正在加紧押注美联储将采取鸽派政策,这将利好不产生收益的贵金属。
道明证券全球大宗商品策略主管巴特·梅莱克表示:“人们的目光已经超越了鲍威尔,认为下一任美联储主席可能会更加鸽派。美联储主席的人选将是决定今年黄金走势的关键因素。”
上周日本债券市场遭遇大规模抛售,再次印证了市场对巨额财政支出的担忧。与此同时,市场猜测美国可能出手干预以支撑日元,这令美元承压,也使得贵金属价格对大多数买家而言更加便宜。随着投资者纷纷涌入黄金市场,金价今年迄今已飙升超过25%。白银的涨幅更为显著,接近65%。
美国总统唐纳德·特朗普本周表示,他并不担心美元下跌,美元作为世界主要储备货币跌至近四年来的最低水平。不过,财政部长斯科特·贝森特后来表示,政府支持美元走强,并排除了干预市场、抛售美元兑日元的可能性。
近几周来,白宫的一系列举动——包括威胁吞并格陵兰岛和军事干预委内瑞拉——扰乱了市场。美国领导人周三警告伊朗,要么达成核协议,要么面临军事打击;近日,他还威胁要对韩国和加拿大加征贸易关税。
在地缘政治动荡持续的情况下,黄金和白银是抵御极端风险的终极避险资产,黄金是所有估值的锚,只要金价上涨,其他贵金属也会随之飙升。
技术面分析:
黄金:在美联储新各派主席,地缘政治危机,和美元信用问题的联合影响下,黄金继续保持非常强劲的走势,一路升至5600附近水平。由于价格高企,震荡幅度加大,我们继续建议保持低多和低扫流动性之后的反弹信号;但同时,也对高位出现的新的收敛形态,保持关注,可以给与1-2次的尝试。我们建议,在单边强势的行情中,优先上车很重要,控制好仓位,控制好底仓。详细位置请咨询插件。

(黄金 15min图)
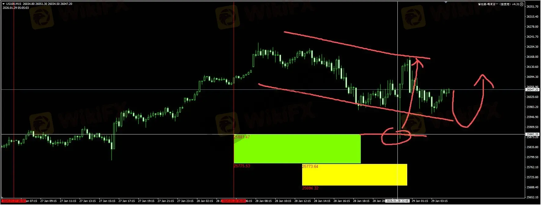
纳指:昨天我们插件提醒的绿色buy limit位置,正好能够捕捉到引线回撤,实现2倍以上的盈亏比。日内继续保持低买和低扫流动性后反弹的策略配置。详细位置请咨询插件。

(纳指 15min图)
原油:昨天价格的回撤,虽然出现了一些扫流动性的情况,但没有触及我们插件提醒的黄色区域以下,随机价格回到了64上方。日内继续保持低买或低扫流动性之后尝试反弹的节奏,重点关注63-63.30区域的扫荡。详细位置请咨询插件。

(原油 15min图)
今日重点关注的财经数据与事件:
21:30 美国上周季调后初请失业金人数(千人)(至0124)
免责声明:
本文观点仅代表作者个人观点,不构成本平台的投资建议,本平台不对文章信息准确性、完整性和及时性作出任何保证,亦不对因使用或信赖文章信息引发的任何损失承担责任
